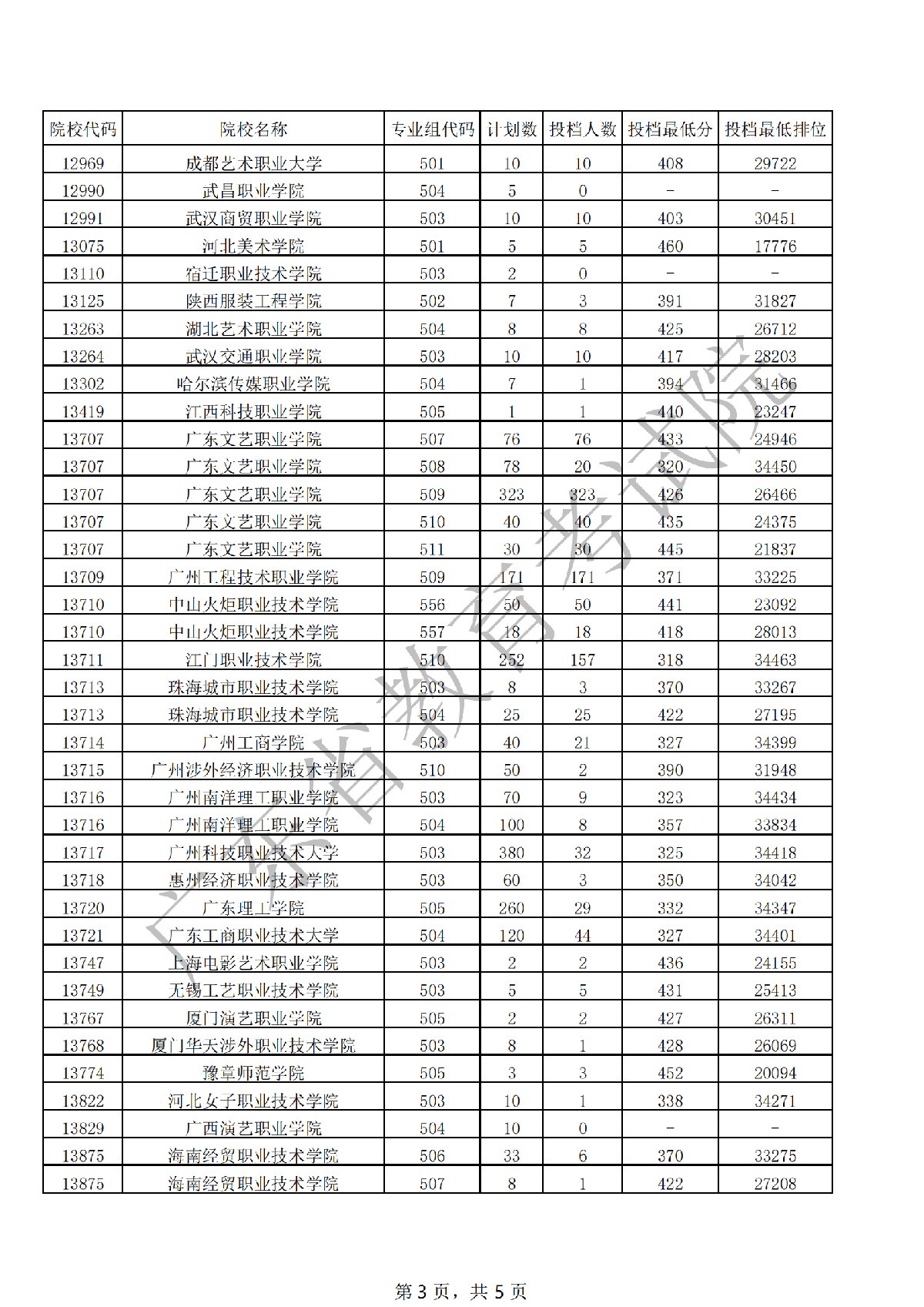
2021年广东专科美术类统考投档情况 2020广东美术专科投档情况

2023-02-10 11:00:56

2021年广东专科美术类统考投档情况 2020广东美术专科投档情况

  

  

  

  

  广东省专科征集志愿填报分数条件

  省外院校。按《关于公布广东省2021年普通高校招生录取最低分数线的通知》(粤招〔2021〕5号)执行。

  省内院校。

  1.专科农村卫生人才专项计划

  普通类(历史):总分428分。

  普通类(物理):总分412分。

  2.其他专科计划

  普通类(历史):总分130分。

  普通类(物理):总分130分。

  体育类:文化科总分130分,体育术科165分。

  美术类:文化科总分130分,美术术科150分。

  音乐类(含音乐学、音乐表演-声乐、音乐表演-器乐):文化科总分130分,音乐术科150分。

  舞蹈类:文化科总分130分,舞蹈术科150分。

  广播电视编导类:文化科总分280分,广播电视编导术科150分。

  书法类:文化科总分130分,书法术科150分。

  符合上述条件且未被录取的考生可参与本次征集志愿。

上一篇:

广东2021年专科广播电视编导类统考投档情况

下一篇:

已是最新文章

相关文章
返回顶部小火箭