重庆双减政策举报电话(重庆市双减)

| 渝北区 | 渝北区教委:67803904 渝北区市场监管局:67489919 渝北区民政局:86015069 |
| 沙坪坝区 | 培训机构违规培训举报电话:88052770 督导工作电话:86291570 |
| 南岸区 | 联系人及举报电话: 蔡老师:62805305龙老师:62800278 举报邮箱:[email protected] |
| 渝中区 | 校外培训机构违规办学行为投诉举报电话: 渝中区教委 办学资质、教育教学等:63838133 渝中区市场监管局 广告、收费、反垄断等:12315 |
| 九龙坡区 | 举报电话:68780270 |
| 垫江县 | 举报电话:74512214、74683001、74667114 举报邮箱:[email protected] |
| 永川区 | 培训机构违规培训举报电话:49858039 中小学违背“五项管理"举报电话:49876536 督导工作电话:49888049 |
| 开州区 | 区教委投诉及咨询电话:62930928(办学资质、参与或组织中小学招生、聘请在职中小学教师等方面的投诉及咨询) 区市场监管局投诉电话:12315(收费、广告宣传、反垄断等方面的投诉) |
| 万州区 | 区教委:58136370 区市场监管局:58560358 |
| 武隆区 | 023-77725218 |
| 长寿区 | 023-40244343 |
| 云阳县 | 云阳县教委举报电话:55138387 市场监管局举报电话:55166700 |
| 丰都县 | 举报电话:023-70722275、023-70714042 |
| 忠县 | 举报电话:54458301 |
| 奉节县 | 举报电话:023-56551059 |
| 城口县 | 举报电话:023-59220081 |
| 大足区 | 举报电话:023-64381736、023-43722138 |
| 合川区 | 举报电话:023-42822715 |
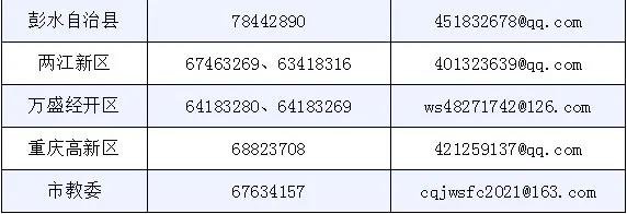
也可以通过以下途径进行举报监督:
