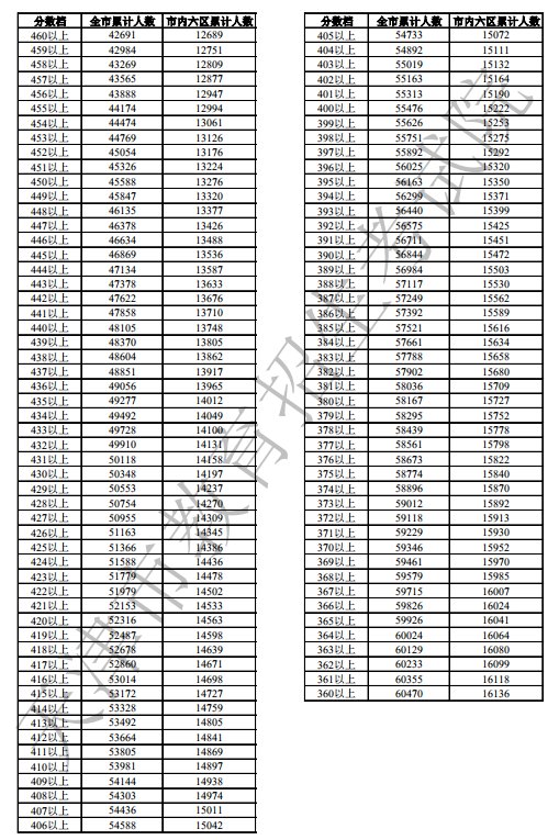
2019年天津中考一分一档表(2019年天津市中考一分一档表)

》》》2019天津中考一分一段表


》》》2021天津中考成绩查询时间:2021年7月5日14:00
》》》全市平均分:419.08
》》》志愿填报
(一)填报时间:7月6日-10日12:00
(二)填报规则
《天津市高级中等学校招生志愿表》分为“市内六区考生使用”和“市内六区以外区考生使用”两种,每种《志愿表》均设置:普通高中学校志愿、各类中职学校志愿2个志愿类别,考生须按招生章程和志愿表填写说明填写。各类高级中等学校招生各批次录取均依据志愿表批次顺序进行。
不具有本市常住和蓝印户口的考生,不得填报普通高中学校志愿,可填报各类中职学校志愿。
